题目描述
剑指 Offer 36. 二叉搜索树与双向链表
难度中等226收藏分享切换为英文接收动态反馈
输入一棵二叉搜索树,将该二叉搜索树转换成一个排序的循环双向链表。要求不能创建任何新的节点,只能调整树中节点指针的指向。
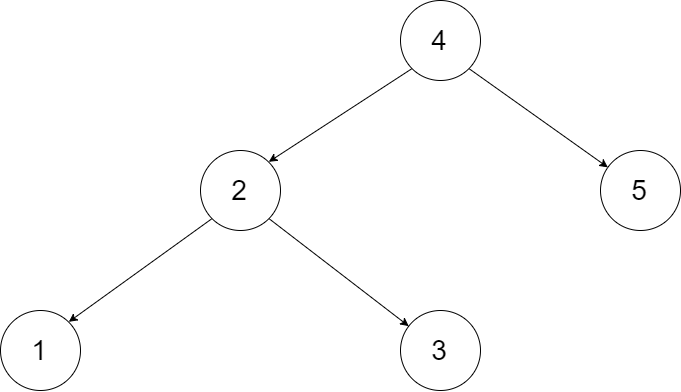
为了让您更好地理解问题,以下面的二叉搜索树为例:
我们希望将这个二叉搜索树转化为双向循环链表。链表中的每个节点都有一个前驱和后继指针。对于双向循环链表,第一个节点的前驱是最后一个节点,最后一个节点的后继是第一个节点。
下图展示了上面的二叉搜索树转化成的链表。“head” 表示指向链表中有最小元素的节点。
特别地,我们希望可以就地完成转换操作。当转化完成以后,树中节点的左指针需要指向前驱,树中节点的右指针需要指向后继。还需要返回链表中的第一个节点的指针。
二叉树节点的定义如下:
public class BinaryTreeNode {
int value;
BinaryTreeNode left;
BinaryTreeNode right;
}
测试用例
- 功能测试(输入的二叉树是完全二叉树;所有节点都没有左/右子树的二叉树;只有一个节点的二叉树)
- 特殊输入测试(指向一个二叉树根节点的指针为空指针)
题目考点
- 考察应聘者分析问题复制问题的能力。解决这个问题的关键在于把一个大的问题分解成几个小问题,并递归得解决小问题。
- 考察应聘者对二叉树和双向链表的理解及编程能力。
解题思路
首先我们一定要想到用中序遍历二叉树。
- 关键:设置一个末尾节点指针用来串联根节点的两侧连接
- 先将左子树遍历完,然后末尾节点指针将指向左子树的最右侧,然后根节点的左指针就指向了末尾节点
- 当右子树的最左侧遍历完之后,右子树的最左侧的节点的左指针就将指向根节点(此时的末尾节点)
参考解题
/*
// Definition for a Node.
class Node {
public int val;
public Node left;
public Node right;
public Node() {}
public Node(int _val) {
val = _val;
}
public Node(int _val,Node _left,Node _right) {
val = _val;
left = _left;
right = _right;
}
};
*/
class Solution {
Node pre,head;
public Node treeToDoublyList(Node root) {
if(root == null) return null;
dfs(root);
pre.right =head;
head.left = pre;
return head;
}
public void dfs(Node cur){
if(cur==null)
return;
dfs(cur.left);
if(pre!=null) pre.right= cur;
else head = cur;
cur.left = pre;
pre = cur;
dfs(cur.right);
}
}
本文标题:剑指Offer系列(java版,详细解析)36.二叉搜索树与双向链表
本文链接:https://blog.quwenai.cn/post/5133.html
版权声明:本文不使用任何协议授权,您可以任何形式自由转载或使用。








还没有评论,来说两句吧...