置顶联合漏洞预警服务(2022-07-19 暂停开放)关于在线社工库关闭的问题 TOOBUG博客自2016年开始与之前守夜人平台进行合作,充分利用守夜人平台的预警中心,为双方会员提供信息安全预警、账号行为分析、个人信息检索、人际关系分析、用户网络指纹记录、精准IP定位等...
热文【数据结构】二叉树:LeetCode题(四)100. 相同的树,98. 验证二叉搜索树,28. 对称的二叉树100. 相同的树¹ 给定两个二叉树,编写一个函数来检验它们是否相同。 如果两个树在结构上相同,并且节点具有相同的值,则认为它们是相同的。 示例 1: 输入: 1 1 / \ / \ 2 3 2 3 [1,2,3],...
热文【数据结构】二叉树:LeetCode题(一)94. 二叉树的中序遍历,144. 二叉树的前序遍历,145. 二叉树的后序遍历,102. 二叉树的层序遍历文章开始前,先放个传送门 二叉树特性浅析及Java实现DFS、BFS。那么,这篇我们就来看看二叉树在LeetCode最基本的三个题:中序遍历,前序遍历,后序遍历,层序遍历。其实解法真没什么说的了,都是八股文… 94....
热文【数据结构】二叉树:LeetCode题(三)226. 翻转二叉树,104.二叉树的最大深度,111.二叉树的最小深度226. 翻转二叉树¹ 翻转一棵二叉树。 示例: 输入: 4 / \ 2 7 / \ / \ 1 3 6 9 输出: 4 / \ 7 2 / \ / \ 9 6 3 1 解法一:递归 思路:只是宏观的去想,去交换两个...
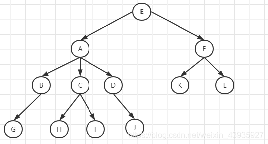
热文【数据结构】二叉树:特性浅析及Java实现五种遍历1.基本概念 1.1 节点 这里放一张图,我们对着这张图来介绍: A 节点就是 B 节点的父节点,B 节点是 A 节点的子节点 B、C、D 这三 个节点的父节点是同一个节点,所以它们之间互称为兄弟节点 我们把没有父节...
热文【数据结构】二叉树:LeetCode题(二)589. N叉树的前序遍历,590. N叉树的后序遍历,429. N叉树的层序遍历在上一篇 二叉树的LeetCode题(一):94. 二叉树的中序遍历,144. 二叉树的前序遍历,145. 二叉树的后序遍历,102. 二叉树的层序遍历 中我们看到了LeetCode中关于二叉树的基本问题,本篇我们就...
热文【数据结构】二叉树:Java实现二叉查找树(附过程图解)二叉查找树(BST):在树中的任意一个节点,其左子树中的每个节点的值,都要小于这个节点的值,而右子树节点的值都大于这个节点的值。 // 基本结构 public class BinarySearchTree { cla...
热文【数据结构】二叉树:AVL树与红黑树特性浅析(图解)1.AVL树 1.1 基本概念 发明者:G.M.Adlson-Velsky 和 Evgenii Landis 所以称之为 AVL 树 优点:AVL树是带有平衡条件的查找二叉树。他保证树的深度为O(logN),查找复杂...
热文数据结构基础:Java版手撕BST二叉搜索树(含前序、中序、后序、层序遍历,树的高度计算)前传 文章中的图形化演示请在下述网址模拟:https://www.cs.usfca.edu/~galles/visualization/Algorithms.html 一、BST概述 和链表一样,二叉搜索树也是一种动...
热文数据结构基础:Java版手撕BST二叉搜索树(含前序、中序、后序、层序遍历,树的高度计算)前传 文章中的图形化演示请在下述网址模拟:https://www.cs.usfca.edu/~galles/visualization/Algorithms.html 一、BST概述 和链表一样,二叉搜索树也是一种动...
热文Algorithms_二叉树&二分搜索树初探文章目录 二叉树 特征 二分搜索树 Binary Search Tree 特征 限制(存储的元素必须具有可比性) Code 添加数据 添加数据V2.0 查找 数据 我们简明扼要的整理下二叉树,以及二分搜索树的特征及代...
2TRX能量租赁-2TRX=1次转账次数直接节省80%!无视对方有没有U或者是否交易所,低于2TRX的都