141.环形链表¹
给定一个链表,判断链表中是否有环。
为了表示给定链表中的环,我们使用整数 pos 来表示链表尾连接到链表中的位置(索引从 0 开始)。 如果 pos 是 -1,则在该链表中没有环
示例 1:
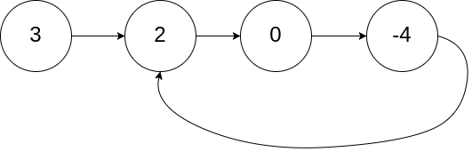
输入:head = [3,2,0,-4], pos = 1
输出:true
解释:链表中有一个环,其尾部连接到第二个节点。
示例 2:
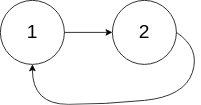
输入:head = [1,2], pos = 0
输出:true
解释:链表中有一个环,其尾部连接到第一个节点。
示例 3:
输入:head = [1], pos = -1
输出:false
解释:链表中没有环。
解法一:枚举法
- 思路:用一个表保存所有结点,若结点已经在表中,则有环
- 这里的表用HashSet最好,因为 set 的 contains 方法与 add 方法都是基于hash表,复杂度 O(1)–> 5ms
- 若用ArrayList,则 contains 方法的复杂度是 O(n)–> 372ms
- 复杂度
- Time:O(n)
- Space:O(n),链表中的每个节点都要放到容器中
public boolean hasCycle(ListNode head) {
if (head == null || head.next == null) return false;
ListNode node = head;
// 这里太合适用set了
Set<ListNode> set = new HashSet<>();
while(node.next != null) {
if (set.contains(node))
return true;
set.add(node);
node = node.next;
}
return false;
}
解法二:双指针(快慢)
- 思路:如果有环,走的快(一次两步)的指针一定能追上走的慢的指针(一次一步)
- 复杂度
- Time:O(n)
- Space:O(1)
public boolean hasCycle(ListNode head) {
if (head == null || head.next == null) return false;
ListNode qn = head,sn = head; // quickNode,slowNode
// 关键是这个判断条件
// qn != null 保证了 qn.next 不会出现空指针异常;
// qn.next != null 保证了 qn.next.next 不会出现空指针异常;
while (qn != null && qn.next != null) {
sn = sn.next;
qn = qn.next.next;
if (sn == qn) {
return true;
}
}
return false;
}
142.环形链表 II²
给定一个链表,返回链表开始入环的第一个节点。 如果链表无环,则返回 null。
为了表示给定链表中的环,我们使用整数 pos 来表示链表尾连接到链表中的位置(索引从 0 开始)。 如果 pos 是 -1,则在该链表中没有环。
说明:不允许修改给定的链表。
示例 1:
输入:head = [3,2,0,-4], pos = 1
输出:tail connects to node index 1
解释:链表中有一个环,其尾部连接到第二个节点。
示例 2:
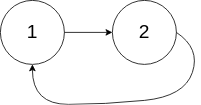
输入:head = [1,2], pos = 0
输出:tail connects to node index 0
解释:链表中有一个环,其尾部连接到第一个节点。
示例 3:
输入:head = [1], pos = -1
输出:no cycle
解释:链表中没有环。
解法一:双指针(快慢)
- 思路:这其实是一个规律,快慢指针相遇后,快指针从头再与慢相遇处即环始点
- 复杂度
- Time:O(n)
- Space:O(1)
public ListNode detectCycle(ListNode head) {
ListNode fast = head;
ListNode slow = head;
// 让快慢指针相遇
while (true) {
// 无环判断
// 注意:这里不能放到循环条件,假设,那么退出循环那部分如何操作?
if (fast == null || fast.next == null) {
return null;
}
fast = fast.next.next;
slow = slow.next;
// 定位到两指针相遇处
if (slow == fast) {
break;
}
}
// 将快指针从头开始,慢指针还在相遇处
fast = head;
// 两指针再次相遇位置就是环始点
while (fast != slow) {
fast = fast.next;
slow = slow.next;
}
return fast;
}
本文标题:【数据结构】链表:LeetCode题(二)141.环形链表I,142.环形链表II
本文链接:https://blog.quwenai.cn/post/10055.html
版权声明:本文不使用任何协议授权,您可以任何形式自由转载或使用。












还没有评论,来说两句吧...