目录
1 定义
并查集是一种很不一样的树形结构,由子节点指向父节点。常被用来回答连接问题(Connectivity Problem),比如下图中求左上角的点和右下角的点是否相连,我们难以用肉眼观察出结果,需要借助这样的数据结构来帮助我们解决。
网络是个抽象的概念:
社交软件的用户,购物网站的商品信息,交通系统等等都可以抽象成网络中的节点,所以实际中的很多问题都可以借助这个强大的数据结构来解决。
除了解决连接问题,并查集还是数学中集合这一概念的具体实现,并查集的“并”字其实也是数学集合求并集的概念。
主要支持两个动作:
// 将两个数据合并起来
union(p,q); // 判断p,q是否相连
isConnected(p,q); 程序框架(接口)如下:
public interface UF {
int getSize();
boolean isConnected(int p, int q);
void unionElements(int p, int q);
} 其中p和q表示id,即数组的索引
2 Quick Find实现
在并查集内部,可以为每一个数据索引 p 或 q 分配一个编号id
判断p,q是否属于同一个集合只需查看对应的id是否相同即可。
我们可以定义一个函数 find(p) 来寻找p所对应的分组,相应的isConnected方法会调用find
这样设计的并查集查询操作的时间复杂度为O(1),所以被称为quick find
public class UnionFind1 implements UF {
private int[] id; // 本质就是一个数组
public UnionFind1(int size) {
id = new int[size];
// 初始化, 每一个id[i]指向自己, 没有合并的元素
for (int i = 0; i < size; i++)
id[i] = i;
}
@Override
public int getSize(){
return id.length;
}
// 查找元素p所对应的集合编号
// O(1)复杂度
private int find(int p) {
if(p < 0 || p >= id.length)
throw new IllegalArgumentException("p is out of bound.");
return id[p];
}
// 查看元素p和元素q是否所属一个集合
// O(1)复杂度
@Override
public boolean isConnected(int p, int q) {
return find(p) == find(q);
}
// 合并元素p和元素q所属的集合
// O(n) 复杂度
@Override
public void unionElements(int p, int q) {
int pID = find(p);
int qID = find(q);
if (pID == qID)
return;
// 合并过程需要遍历一遍所有元素, 将两个元素的所属集合编号合并
for (int i = 0; i < id.length; i++)
if (id[i] == pID)
id[i] = qID;
}
} 其中合并方法 unionElements(int p, int q) 需要单独解释一下,还是上面的例子,如果此时要合并1和4,那么意味着1所在的组和4所在的组合并
3 Quick Union
不过我们真实实现并查集时,是将每一个元素看作是一个节点,节点之间形成树,只是这棵树是子节点指向父节点的。
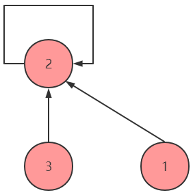
例如一个以2为根节点的树:
如果此时另外的节点1要和3进行合并,需要将节点1指向3的根节点
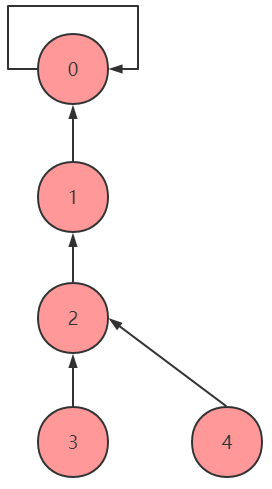
如果有另外一棵以5为根的树,其中节点7要和节点3合并,那么结果是将节点5指向节点2
在这种情况下我们依然可以用数组来进行存储,因为每一个节点只有一个指针指向别人。定义一个parent数组,parent[i]的值表示i指向的节点。初始形状如下:
此时如果要进行union(4,3)操作
对应数组里的
对应数组里的
对应数组中的
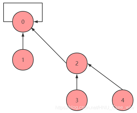
再进行union(9, 4)时,需要进行查找,4的父节点是3,3的父节点是8,8是根节点所以9指向8
时间复杂度:
union过程:O(h),其中h为树的高度,h << n。相应的查询过程的时间复杂度也是O(h)。
public class UnionFind2 implements UF {
// 使用一个数组构建一棵指向父节点的树
// parent[i]表示第一个元素所指向的父节点
private int[] parent;
// 构造函数
public UnionFind2(int size){
parent = new int[size];
// 初始化, 每一个parent[i]指向自己, 表示每一个元素自己自成一个集合
for( int i = 0 ; i < size ; i ++ )
parent[i] = i;
}
@Override
public int getSize(){
return parent.length;
}
// 查找过程, 查找元素p所对应的集合编号
// O(h)复杂度, h为树的高度
private int find(int p){
if(p < 0 || p >= parent.length)
throw new IllegalArgumentException("p is out of bound.");
// 不断去查询自己的父亲节点, 直到到达根节点
// 根节点的特点: parent[p] == p
while(p != parent[p])
p = parent[p];
return p;
}
// 查看元素p和元素q是否所属一个集合
// O(h)复杂度, h为树的高度
@Override
public boolean isConnected( int p , int q ){
return find(p) == find(q);
}
// 合并元素p和元素q所属的集合
// O(h)复杂度, h为树的高度
@Override
public void unionElements(int p, int q){
int pRoot = find(p);
int qRoot = find(q);
if( pRoot == qRoot )
return;
parent[pRoot] = qRoot;
}
} 之后的代码都基于此来进行优化。
4 基于size的优化
上面的例子中,如果依次执行union(0, 1),union(0, 2),union(0, 3),union(0, 4)...则会退化成一个链表,一个简单的解决方案是考虑当前的树有多少个节点。
假设并查集如下:
如果让8指向9的话,最终会得到一颗深度为4的树,但如果让9指向8只会得到一颗高度为3的树。
定义一个sz数组用于记录以i为根的集合中元素个数,union是将sz小的集合的根节点指向sz大的集合的根节点。
核心代码:
public void unionElements(int p, int q){
int pRoot = find(p);
int qRoot = find(q);
if(pRoot == qRoot)
return;
// 根据两个元素所在树的元素个数不同判断合并方向
// 将元素个数少的集合合并到元素个数多的集合上
if(sz[pRoot] < sz[qRoot]){
parent[pRoot] = qRoot;
sz[qRoot] += sz[pRoot];
}
else{ // sz[qRoot] <= sz[pRoot]
parent[qRoot] = pRoot;
sz[pRoot] += sz[qRoot];
}
}
5 基于rank的优化
rank指树的高度。
对于下面这个例子:
基于上面基于size优化的代码,节点数小的树指向节点数大的树,union(4, 2)将使得8指向7,将形成一颗高度为4的树,更加合理的合并方案是将7指向8,深度为3。
所以我们在真正合并时应该用深度代替size来决定谁指向谁。
核心代码:
public void unionElements(int p, int q){
int pRoot = find(p);
int qRoot = find(q);
if( pRoot == qRoot )
return;
// 根据两个元素所在树的rank不同判断合并方向
// 将rank低的集合合并到rank高的集合上
if(rank[pRoot] < rank[qRoot])
parent[pRoot] = qRoot;
else if(rank[qRoot] < rank[pRoot])
parent[qRoot] = pRoot;
else{ // rank[pRoot] == rank[qRoot]
parent[pRoot] = qRoot;
rank[qRoot] += 1; // 此时维护rank的值
}
} 6 路径压缩
上面的代码还是有可能出现退化成链表的情况
由于树的高度决定并查集的性能,所以可以考虑使用路径压缩来尽力降低树的高度。
路径压缩:
讲一课比较高的树变为比较矮的树。
可以将路径压缩过程设计成执行find操作的时候,在寻找的过程中顺便执行路径压缩。路径压缩可以采用如下的方式:
parent[p] = parent[parent[p]]; 即将p的父节点设置为其爷爷节点。
在find(4)时,将4的父节点设为2:
继续向上查找,2的父节点变为0
执行完毕之后树的深度从原先的5降低至现在的3。
核心代码:
private int find(int p){
if (p < 0 || p >= parent.length)
throw new IllegalArgumentException("p is out of bound");
while (p != parent[p]){
parent[p] = parent[parent[p]]; // 路径压缩,添加后rank不再表示树的高度的物理意义,但是依然有效
p = parent[p];
}
return p;
} 至此我们对于并查集的优化完全结束。
完整代码:
/*
quick union
基于rank(树的层数)的优化
路径压缩
*/
public class UnionFind implements UF{
private int[] parent;
private int[] rank; // sz[i]表示以i为根的集合中元素个数
public UnionFind(int size){
parent = new int[size];
rank = new int[size];
for (int i = 0; i < size; i ++){
parent[i] = i;
rank[i] = 1;
}
}
@Override
public int getSize(){
return parent.length;
}
// 查找过程,查找p对应的集合编号
// O(h),h为树高度
private int find(int p){
if (p < 0 || p >= parent.length)
throw new IllegalArgumentException("p is out of bound");
while (p != parent[p]){
parent[p] = parent[parent[p]]; // 路径压缩,添加后rank不再表示树的高度的物理意义,但是依然有效
p = parent[p];
}
return p;
}
@Override
public boolean isConnected(int p, int q){
return find(p) == find(q);
}
// 合并过程,合并pq所属的集合
// O(h),h为树高度
@Override
public void unionElements(int p, int q){
int pRoot = find(p);
int qRoot = find(q);
if (pRoot == qRoot)
return;
// 让rank低的树的根节点指向rank高的树的根节点
if (rank[pRoot] < rank[qRoot]){
parent[pRoot] = qRoot;
// 高度低的树的根指向高度高的树的根,总的高度不变不用维护rank
}
else if (rank[qRoot] < rank[pRoot]){
parent[qRoot] = pRoot;
}
else { // rank[qRoot] == rank[pRoot]
parent[qRoot] = pRoot;
rank[pRoot] += 1;
}
}
}


























还没有评论,来说两句吧...