数据结构的本质
数据结构本质其实就是数据的存储方式。
学习数据结构,选择合理数据结构存储数据,为高效利用数据提供了基础。
举个例子:
比如 1,2,3,“a”,“b”,“c” 这种数据数据,我们利用变量或者数组存储即可 。
还有一种数据,比如家族的族谱这种树形结构的数据 ,当然了 你也可以用线性表或者变量来存储,但却丢失了其中的逻辑关系,为后续使用数据带来了非常大的困难。针对此类数据,数据结构中使用树结构来存储这类数据。
再比如,导航软件大家都使用过,如果你使用线性结构来储存,那… 针对此类数据,数据结构提供了图存储结构存储这类数据。
常用数据结构
- 线性表,还可细分为顺序表、链表、栈和队列;
- 树结构,比如普通树,二叉树,线索二叉树等等
- 图存储结
线性表(一对一)
线性表结构存储的数据往往是可以依次排列的,具备这种“一对一”关系的数据就可以使用线性表来存储。 。
线性表并不是一种具体的存储结构,它包含顺序存储结构和链式存储结构,是顺序表和链表的统称。
顺序表
最常用的顺序表就是数组,比如你开辟一个 长度为5的int类型的数组,存储 1 3 5 7 9 ,在内存中的存储结构如下
顺序表结构的底层实现借助的就是数组,去理解顺序表的话,可以把顺序等价为数组,但实则不是这样的。
链表
我们知道,顺序表(底层实现靠数组) 需要提前申请一定大小的存储空间,这块存储空间的物理地址是连续的
链表则完全不同,使用链表存储数据时,是随用随申请,因此数据的存储位置是相互分离的,即数据的存储位置是随机的。
为了给各个数据块建立“依次排列”的关系,链表给各数据块增设一个指针,每个数据块的指针都指向下一个数据块,最后一个数据块的指针指向 NUL,这样一来,看似毫无关系的数据块就建立了“依次排列”的关系,也就形成了链表。
栈
栈和队列隶属于线性表,是特殊的线性表,因为它们对线性表中元素的进出做了明确的要求。
栈中的元素只能从线性表的一端进出(另一端封死),且要遵循“先入后出”的原则,即先进栈的元素后出栈。

栈结构如上图所示,像一个木桶,栈中含有 3 个元素,分别是 A、B 和 C,从在栈中的状态可以看出 A 最先进的栈,然后 B 进栈,最后 C 进栈。
根据“先进后出 FILO”的原则,3 个元素出栈的顺序应该是:C 最先出栈,然后 B 出栈,最后才是 A 出栈。
队列
队列中的元素只能从线性表的一端进,从另一端出,且要遵循“先入先出 FIFO”的特点,即先进队列的元素也要先出队列
队列结构如上图所示,队列中有 3 个元素,分别是 A、B 和 C,从在队列中的状态可以看出是 A 先进队列,然后 B 进,最后 C 进。
根据“先进先出”的原则,3 个元素出队列的顺序应该是 A 最先出队列,然后 B 出,最后 C 出。
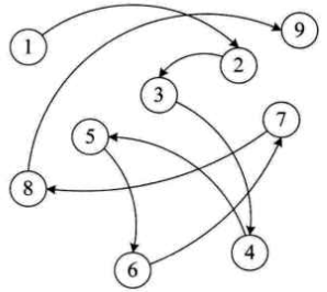
树存储结构 (一对多)
树存储结构适合存储具有“一对多”关系的数据。
可以把上面的这个图想象成一个家族族谱 , 拿2来举例,2有一个父亲1,有2个孩子 4和5 ,这就是“一对多”的关系,满足这种关系的数据可以使用树存储结构。
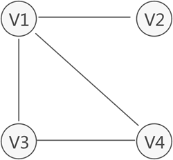
图存储结构(多对多)
上图存储 V1、V2、V3、V4 的图结构,从图中可以清楚的看出数据之间具有的"多对多"关系。
例如,V1 与V2 V3 V2 建立着联系,V4 与 V1 和 V3 建立着联系,以此类推。满足这种关系的数据可以使用图存储结构。
逻辑结构 VS 物理存储结构
当一个结构,如数组、链表、树、图,在逻辑结构中只有一种定义,而在物理结构中却有两种选择,那么这个结构就属于逻辑结构; 反之,当此结构在原有基础上加上了某种限定,使得其在物理结构中只有一种定义,那么这个结构就属于物理(存储)结构;
举例1:栈属于什么结构?
—> 栈在逻辑结构中只能属于线性结构,而在物理结构中它可以使用顺序存储(数组),也可以使用链式存储(链表),所以说栈是一种逻辑结构。
算法的比较: 高斯求和为例
public class Summary {
public static void main(String[] args) {
int sum = 0 ,n = 100 ; // 执行1次
for (int i = 1; i < 101 ; i++) { // 执行n+1次
sum += i ; // 执行n次
}
System.out.println(sum); // 执行1次
// 时间复杂度 1 + (n+1) + n + 1 = 2n + 3 ----> 忽略常量 ----> O(n)
// 1 + 2 + 3 + 4 + 5 + .... + 100
// 100 + 99 + 98 + 97 + 96 + ... + 1
// 101 + 101 + 101+ 101 +101 + ...+ 101 ---> 2 * sum
sum = (1+ n ) * n /2 ; // 执行1次
System.out.println(sum); // 执行1次
// 时间复杂度 1 + 1 = 2 ----> 忽略常量 ----> O(1)
}
}
- 第一种算法 循环N次,时间复杂度 O(n)
- 第二种算法 相当于另一种求等差数列的算法,执行一次,时间复杂度O(1)
高下立判 ,这就是不同的算法,不同的效率.













还没有评论,来说两句吧...