置顶联合漏洞预警服务(2022-07-19 暂停开放)关于在线社工库关闭的问题 TOOBUG博客自2016年开始与之前守夜人平台进行合作,充分利用守夜人平台的预警中心,为双方会员提供信息安全预警、账号行为分析、个人信息检索、人际关系分析、用户网络指纹记录、精准IP定位等...
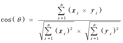
热文Lucene打分公式详解(TFIDFSimilarity)本文章基于Lucene5.5,对其默认使用的打分公式(TFIDFSimilarity)进行解析 一、余弦相似度算法 由于网络上有很多关于VSM(向量空间模型)的解释,这里就不花费篇章做基本理论的描述了,只总结一下算法...
热文第 7 节 @Configuration注解与Java类配置1 基于 xml 文件的应用配置 对于 SpringBoot 框架的使用老鸟可能会对 Java 类配置和 xml 文件配置的对应关系有清楚的了解,不过为了照顾部分 SpringBoot 框架使用新手同学,在这里分...
热文跨语言RPC框架:Gprc和protobuf的使用例子分析(包含完整项目源码)概述 Grpc是Google开发的一款高性能、跨语言的RPC框架,使用Google的数据序列化框架protobuf作为IDL(接口定义语言)跨语言的服务接口定义,以及数据序列化。在通信层面基于HTTP2.0实现,这是...
热文分布式系统设计之限流算法剖析:漏桶与令牌桶前言 限流机制主要用于对流入系统的请求流量进行限制,保证在任何时候进入系统的请求流 量都是可控的。即不能超过系统预设的最大流量值,超过则需要排队等待或者直接拒绝,从 而避免高并发流量全部涌入系统,导致超出了系统的处理...
热文基于双向链表和哈希表(开放地址)实现LRU缓存一、设计思路 1. 数据存储 数据存储使用开放地址哈希表,而不是使用链表哈希的方式 ,从而保证存放最多指定容量的数据。如果发生冲突,则往下查找直到找到一个空位置。 对应的数据结构层面,则是使用数组,更确切地说是环形数...
热文MySQL学习(六):Innodb存储引擎的事务实现机制一、概述 事务机制主要用于实现数据库对并发访问的支持和在并发访问下的数据一致性和可靠性。MySQL的myisam存储引擎是不支持事务的,通过表锁来实现数据的可靠性,类似于Java多线程的同步锁synchronized...
热文JVM类和对象体系设计OOP-Klass对象系统:JVM内部的Java类实现 JVM是基于C++实现的,故Java的每个类被JVM加载之后,需要使用一个C++的对等体来维护,同时Java对象实例也需要在C++中能够被访问,JVM的实现机制...
热文Redis集群的设计与使用概述 Redis集群是Redis实现分布式数据库的解决方案,通过数据分片将一个完整数据库的数据分散到集群中的各个节点,即整个集群构成一个完整的数据库,集群中各个节点负责处理其中一部分数据。这样可以通过增加集群节点的方...
热文Spring基于@Configuration的类配置的用法使用@Configuration来注解类,在类里面包含多个@Bean注解的方法。这些使用@Bean注解的方法,会被加载为BeanFactory里面的BeanDefinition,其中beanName默认为方法名,并且...
TRX能量代理-2TRX=1次转账次数直接节省80%!无视对方有没有U或者是否交易所,低于2TRX的都是