置顶联合漏洞预警服务(2022-07-19 暂停开放)关于在线社工库关闭的问题 TOOBUG博客自2016年开始与之前守夜人平台进行合作,充分利用守夜人平台的预警中心,为双方会员提供信息安全预警、账号行为分析、个人信息检索、人际关系分析、用户网络指纹记录、精准IP定位等...
热文【必备算法】动态规划:LeetCode题(八)123. 买卖股票的最佳时机 III,188. 买卖股票的最佳时机 IV买卖股票系列: 【必备算法】动态规划:一个思路解决六道股票问题 【必备算法】动态规划:LeetCode题(七)121. 买卖股票的最佳时机,122. 买卖股票的最佳时机 II 【必备算法】动态规划:LeetCode题...
热文【必备算法】动态规划:一个思路解决六道股票问题买卖股票系列: 【必备算法】动态规划:一个思路解决六道股票问题 【必备算法】动态规划:LeetCode题(七)121. 买卖股票的最佳时机,122. 买卖股票的最佳时机 II 【必备算法】动态规划:LeetCode题...
热文【必备算法】动态规划:LeetCode题(十)343. 整数拆分,279. 完全平方数343. 整数拆分² 给定一个正整数 n,将其拆分为至少两个正整数的和,并使这些整数的乘积最大化。 返回你可以获得的最大乘积。 示例 1: 输入: 2 输出: 1 解释: 2 = 1 + 1, 1 × 1 = 1。 ...
热文【必备算法】动态规划:LeetCode题(九)309. 最佳买卖股票时机含冷冻期,714. 买卖股票的最佳含手续费买卖股票系列: 【必备算法】动态规划:一个思路解决六道股票问题 【必备算法】动态规划:LeetCode题(七)121. 买卖股票的最佳时机,122. 买卖股票的最佳时机 II 【必备算法】动态规划:LeetCode题...
热文【必备算法】动态规划:LeetCode题(七)121. 买卖股票的最佳时机,122. 买卖股票的最佳时机 II买卖股票系列: 【必备算法】动态规划:一个思路解决六道股票问题 【必备算法】动态规划:LeetCode题(七)121. 买卖股票的最佳时机,122. 买卖股票的最佳时机 II 【必备算法】动态规划:LeetCode题...
热文【必备算法】动态规划:LeetCode题(三)53. 最大子序和,300. 最长上升子序列53. 最大子序和¹ 给定一个整数数组 nums ,找到一个具有最大和的连续子数组(子数组最少包含一个元素),返回其最大和。 示例: 输入: [-2,1,-3,4,-1,2,1,-5,4], 输出: 6 解释: 连续...
热文【必备算法】动态规划:LeetCode题(六)322. 零钱兑换,518. 零钱兑换 II322. 零钱兑换² 给定不同面额的硬币 coins 和一个总金额 amount。编写一个函数来计算可以凑成总金额所需的最少的硬币个数。如果没有任何一种硬币组合能组成总金额,返回 -1。 示例 1: 输入: coin...
热文【必备算法】动态规划:LeetCode题(二):198. 打家劫舍,213. 打家劫舍 II198. 打家劫舍¹ 你是一个专业的小偷,计划偷窃沿街的房屋。每间房内都藏有一定的现金,影响你偷窃的唯一制约因素就是相邻的房屋装有相互连通的防盗系统,如果两间相邻的房屋在同一晚上被小偷闯入,系统会自动报警。 给定一个...
热文【必备算法】动态规划:LeetCode题(四) 62. 不同路径,63. 不同路径 II,120. 三角形最小路径和62. 不同路径² 一个机器人位于一个 m x n 网格的左上角 (起始点在下图中标记为“Start” )。 机器人每次只能向下或者向右移动一步。机器人试图达到网格的右下角(在下图中标记为“Finish”)。 问总共...
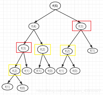
热文【必备算法】动态规划:LeetCode题(一):70.爬楼梯,746. 使用最小花费爬楼梯70.爬楼梯¹ 假设你正在爬楼梯。需要 n 阶你才能到达楼顶。 每次你可以爬 1 或 2 个台阶。你有多少种不同的方法可以爬到楼顶呢? 注意:给定 n 是一个正整数。 示例 1: 输入: 2 输出: 2 解释: 有两...
u地址转错【T9yKEqeNNKS5JWamNX2aQ6XgLJzHhT5Mam】转错请联系TG:@TrxEm