置顶联合漏洞预警服务(2022-07-19 暂停开放)关于在线社工库关闭的问题 TOOBUG博客自2016年开始与之前守夜人平台进行合作,充分利用守夜人平台的预警中心,为双方会员提供信息安全预警、账号行为分析、个人信息检索、人际关系分析、用户网络指纹记录、精准IP定位等...
热文keepalived安装配置安装keepalived wget http://www.keepalived.org/software/keepalived-1.2.7.tar.gz tar zxvf nginx-1.2.7.tar.gz cd ...
热文CVE-2019-0708:Windows RDP远程漏洞无损检测工具下载CVE-2019-0708: Windows RDP远程漏洞无损检测工具下载 ? ? 0x00下载链接 https://free.360totalsecurity.com/CVE-2019-0708/detector...
热文commix工具配合命令注入commix简介 commix是一款由python编写,开源自动化检测系统命令注入工具??https://github.com/commixproject/commix commix?参数 ? 选项: ????-v?...
热文sqlmap日常使用收集的一些技巧资源来之互联网 -u #注入点 -f #指纹判别数据库类型 -b #获取数据库版本信息 -p #指定可测试的参数(?page=1&id=2 -p “page,id”) -D “” #指定数据库名 -T ...
热文Vim任意代码执行漏洞(CVE-2019-12735)Vim通过Modelines执行任意代码 漏洞概要: 在8.1.1365之前的Vim和在0.3.6之前的Neovim很容易通过打开特制的文本文件而通过模型执行任意代码。 复现条件: 确保未禁用modeline选项(:...
热文web安全之文件上传漏洞一、文件过滤的方法 文件头校验:JPEG ==>FF D8 FF E0、PNG==>89 50 4E 47 0D 0A 1A 0A 文件类型校验:HTTP头中的content/type,互联网媒体类型,也叫做MIME...
热文Linux文件操作基础命令目录 Linux常用的一些命令的整理,? 1.查看文件 1)查看文件信息 2)查看文件内容 head命令 tail命令 cat命令 more命令 less命令 2. 搜索命令 1)内容搜索:grep 2)速度最快:?...
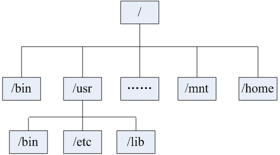
热文Linux文件系统与文件类型本文1-6部分介绍文件系统,6-8部分介绍文件类型 1、文件系统 Linux采用了树状结构的文件系统,它由目录和目录下的文件一起构成。使用单一的根目录结构,所有的分区都挂载到单一的“/”目录上,其结构示意图如图所示。...
热文脚本病毒制作与分析一、什么是脚本病毒 脚本病毒通常是 JavaScript 或 VBScript 等语言编写的恶意代码,该脚本语言功能非常强大,它们利用Windows系统的开放性特点,通过调用一些现成的Windows对象、组件,可以直...
热文XSS 和 CSRF 攻击的一些非常规防御方法一说到安全,大家总会特别敏感,尤其是有相当部分的前端开发者并不了解安全相关的知识,颇有谈虎色变的感觉。具体到前端安全这个话题呢,又有些说不清道不明,因为大部分的防御方案,总少不了后端的参与,也有开发者慢慢觉得好像安全...
TRX能量代理-2TRX=1次转账次数直接节省80%!无视对方有没有U或者是否交易所,低于2TRX的都是